 
                        巴斯夫BASF TINUVIN 791低聚受阻胺穩定劑的協同混合物
	巴斯夫BASF TINUVIN 791是一種出色的低聚受阻胺復合增效紫外線光穩定劑,它是Chimassorb 944和Tinuvin 770的協效混合物,其成份中高分子量和低分子量受阻胺光穩定劑組份之間的協效作用可很大限度地確保聚合物免受由于紫外線輻射和長期受熱造成的降解,巴斯夫UV791光穩定劑是適用于厚制品的優良光穩定劑,特別適用于PP厚型材,比如汽車保險杠、儀表板、花園桌椅等,它具有優良的光穩定效果,可以提供出色的表面防護,在PP膠帶中它也表現出較高的穩定效率。
- 品牌:巴斯夫光穩定劑
- 型號:Tinuvin 791
- CAS:71878-19-8/52829-07-9
- 包裝規格:20kg/包
- 化學結構:Chimassorb 944與Tinuvin 770混合物
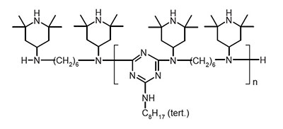
化 學 名 稱:
	Tinuvin 770:雙(2,2,6,6-四甲基-4-哌啶基)葵二酸酯
	

	CHIMASSORB 944:低聚-[[6-[(1,1,3,3-四甲基丁基)-亞氨基]-1,3,5-三嗪-2,4-二基]-[2-(2,2,6,6-四甲基哌啶基)-氨基]-亞已基-[4-(2,2,6,6-四甲基哌啶基)-亞氨基]]
	

巴斯夫UV791物理特性:
| 外觀 | 白色至淡黃色顆粒(無味) | 
| 含量 | 99% | 
| 熔點 | 
						大約55°C | 
| 
						閃點 | >150°C | 
| 相對密度(20°C) | 1.0–1.2g/cm³ | 
| 蒸氣壓(20°C) | <0.01Pa | 
| 揮發物 | ≤1.0% | 
| 灰份 | ≤0.1% | 

巴斯夫UV791應用范圍:
	巴斯夫Tinuvin 791受阻胺光穩定劑適用于聚丙烯PP、聚丙烯與彈性體和PA的共混物、PP/EPDM和PP/PE/EPDM混合物(TPO類)等塑料聚合物的應用,它也可以用于苯乙烯聚合物,例如ABS、抗沖聚苯乙烯等。
巴斯夫UV791應用指南:
| 厚片 | PP的紫外線穩定 | 0.1 – 0.8 % | 
| 膠帶 | PP的紫外線穩定 | 0.1 – 0.8 % | 
巴斯夫UV791安全指導:
	遵循良好的工業操作規范,小心使用并盡量避免與人接觸,避免連續和反復吸入灰塵,要在通風條件好的環境中使用,避免與眼睛接觸,防止環境污染,避免揚塵和接近火源,詳細資料請參考<<化學品安全技術說明書>>。



【返回上一頁】
                產品列表
		
		
		
		
            
            
                    相關產品
                
            
                    最新文章
                - 有機顏料與無機顏料的區別與選擇指南|特性分析、應用領域與性能
- 全球高性能顏料市場趨勢與預測(2025-2032)
- 有機顏料與染料的區別有哪些?一文講透兩者核心特性與應用選擇
- 變色龍顏料原理與應用領域|奇幻變色顏料的色彩效果
- 色母粒分散性影響因素:材料與工藝對塑料制品顏色均勻性的影響
- 解決色母粒常見問題:應對顏色遷移、色差與滲色的全面解決方案
- 2025年鈦行業報告:科慕、特諾、龍蟒佰利聯領跑全球二氧化鈦
- DIC 2025年上半年財報:營業收入增長22.9%,DIC
- 比炭黑還黑的顏料有哪些?盤點那些顛覆視覺的“黑科技”超黑材料
- 全球珠光顏料市場分析報告(2025-2033):規模、趨勢與
- 2032年全球特效顏料市場將達15.68億美元|汽車與化妝品
- 熒光防偽顏料是什么?原理、技術應用與怎么用全解析
- 變色顏料原理詳解:什么是物理變色與化學變色?
- 填充母粒市場分析:2025–2032年全球規模、趨勢與區域前
- 卡博特炭黑制造商連續五年獲EcoVadis鉑金評級 領跑可持
- 熱致變色材料市場前景:2032年市場將突破38.5億美元
- KRAHN Chemie將分銷Vibrantz群青、釩酸鉍等
- 2025–2034年全球偶氮顏料市場分析:趨勢、增長預測與區
- 顏料紅108鎘紅和顏料紅254大紅的區別,哪個顏料更鮮艷?
- 光引發劑市場規模、類型、應用及趨勢分析(2025-2030)
 
