 
                        顏料紅112(Pigment Red 112):油墨與涂料用高性能紅色有機顏料
- 名稱:顏料紅112
- 俗稱:永固紅FGR
- 色相/色光:中性紅色
- 化學類別:單偶氮顏料
- 特點:顏色鮮艷、著色力強、耐光性好
- 應用:主要用于油墨和涂料領域
- 更新日期:2025-05-08
- 點擊索要樣品 查詢相關產品
顏料紅112(Pigment Red 112)概述:應用與性能特點分析
顏料紅112(Pigment Red 112),俗稱永固紅FGR,是一種綜合性能良好的單偶氮類有機顏料,給出鮮艷明亮的中性紅色調,該顏料在濃硫酸中呈紅光紫色,稀釋后形成藍光紅色沉淀。顏料紅112的色光接近甲苯胺紅(顏料紅3),因此在許多應用中,特別是在高牢度需求的領域,它常常用作顏料紅3的替代品。本文將詳細介紹顏料紅112的基本特性、用途、合成方法以及在各類工業中的應用。
顏料紅112基本信息
- 中文名稱:顏料紅112
- 英文名稱:Pigment Red 112(P.R.112)
- 別名:永固紅FGR(Permanent Red FGR)
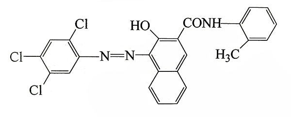
- 化學名稱:3-hydroxy-N-(2-methylphenyl)-4-[(2,4,5-trichlorophenyl)azo]-2-Naphthalenecarboxamide
- CAS號:6535-46-2
- EINECS號:229-440-3
- C.I.結構號:12370
- 化學類別:單偶氮類
- 分子式:C??H??Cl?N?O?
- 分子量:484.76
- 分子結構圖:

顏料紅112物化性能
| 性能指標 | 數值 | 
|---|---|
| 色相 / 色光 | 艷紅色 | 
| 相對密度 | 1.38 – 1.65 g/cm³ | 
| 堆積密度 | 11.5 – 13.5 lb/gal | 
| 熔點 | 約 290 ℃ | 
| 平均粒徑 | 約 0.11 μm | 
| 粒子形狀 | 小薄片狀 | 
| 比表面積 | 37 – 40 m²/g | 
| pH值(10%漿料) | 3.5 – 7.0 | 
| 吸油量 | 35 – 88 g/100g | 
| 遮蓋力 | 半透明型 | 

顏料紅112主要用途與應用特性
顏料紅112是一款具有良好性能的紅色有機顏料,憑借其鮮艷的色彩,出色的著色強度和優良的耐光性,廣泛應用于印刷油墨、油漆涂料、及紡織印花等多個領域。
1. 油漆涂料行業應用
在涂料中,顏料紅112常用于以下領域:
- 風干涂料
- 烘烤搪瓷涂料(保持適當的條件以避免起霜)
- 汽車飾面涂料
- 工業涂料
- 木器涂料(可與顏料黃83、顏料紫23拼色使用)
- 乳膠漆(適用于室內涂料,外部使用時耐候性略差)
- 電泳涂裝(電泳涂裝是其特殊應用之一)
- 印花涂料漿
顏料紅112在涂料中的耐光性表現突出,耐光牢度可達7-8級,稀釋后色彩也可達到6-7級,適合高檔涂料體系的要求。該顏料還用于織物印花,在這一領域的耐光性可達7級,但耐干洗性稍遜。需要注意的是其耐重涂牢度一般,并且有一定的起霜風險。
2. 印刷油墨行業應用
在印刷油墨中,顏料紅112主要應用于:
- 凸版印刷油墨
- 膠印油墨
- 包裝用凹版油墨
- 柔版印刷油墨
該顏料能提供鮮亮的紅色圖像,特別適用于包裝、標簽及宣傳印刷等領域。

顏料紅112合成方法
顏料紅112的合成過程包括三個主要步驟:重氮化、偶聯反應和后處理。
- 重氮化:首先,將1,2,4-三氯苯胺溶解于冰醋酸中,再將其轉移到水中,加入鹽酸,并冷卻,在加入亞硝酸鈉溶液進行重氮化反應,然后稀釋,加活性炭過濾,備用;
- 偶聯反應:在得到重氮鹽后,將色酚AS-D溶于氫氧化鈉溶液中,加硅藻土過濾,稀釋,加入依加朋T和冰醋酸進行析出沉淀,然后將重氮液慢慢加入進行偶聯反應;
- 后處理:經過過濾、洗滌和干燥處理,最終得到顏料紅112。
顏料紅112代表產品
- 
            				    	  潤巴P1120黃相紅高透明有機顏料_顏料紅112潤巴Ranbar Red P1120是一種高透明的單偶氮類有機顏料,顏色呈鮮艷的黃相紅色調,顏色索引號為顏料紅112。潤巴P1120高透明有機顏料具有著色力強,... 
- 
            				    	  科萊恩永固紅FGR顏料紅112單偶氮顏料Permanent Red FGR科萊恩永固紅FGR是一種半透明的單偶氮萘酚AS顏料,顏色鮮艷、著色力好、光澤度高,即使在中等還原度下,永固紅FGR也具有非常好的耐光性和耐候性;因此,當甲苯胺紅... 
- 
            				    	  巴斯夫艷佳麗紅Irgalite L3865單偶氮有機顏料巴斯夫艷佳麗紅Irgalite Red L3865是一種傳統型的單偶氮萘酚AS紅有機顏料,顏料紅112,亮度高,不透明度好,著色力強,呈非常艷麗的正紅色(用二氧... 
 
