 
                        顏料紅146結構特點、合成方法及主要用途介紹Pigment Red 146
- 名稱:顏料紅146
- 俗稱:萘酚洋紅FBB / 永固洋紅FBB
- 色相/色光:藍光紅色
- 化學類別:單偶氮類
- 特點:顏色鮮艷、高光澤度、良好的耐光性和耐溶劑性
- 應用:主要用于油墨和涂料行業
- 更新日期:2025-06-26
- 點擊索要樣品 查詢相關產品
顏料紅146(Pigment Red 146)的結構特點、合成工藝與應用
基本信息
- 中文名稱:顏料紅146
- 英文名稱:Pigment Red 146
- 別名:萘酚洋紅FBB、永固洋紅FBB
- CAS號:5280-68-2
- C.I.結構號:12485
- EINECS編號:226-103-2
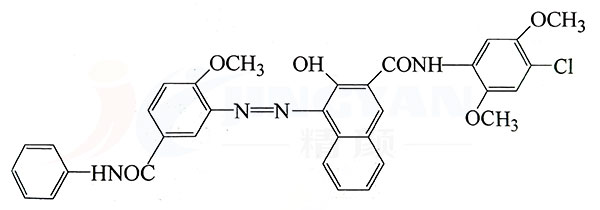
- 化學結構:單偶氮萘酚AS
- 分子式:C??H??ClN?O?
- 相對分子量:611.04
顏料紅146分子結構
顏料紅146的化學文摘名稱為:N-(4-氯-2,5-二甲氧基苯基)-3-羥基-4-[[2-甲氧基-5-[(苯氨基)羰基]苯基]偶氮]-2-萘甲酰胺;N-(4-chloro-2,5-dimethoxyphenyl)-3-hydroxy-4-[[2-methoxy-5-[(phenylamino)-carbonyl]phenyl]azo]-2-Naphthalenecarboxamide;
 
顏料紅146結構中包含典型的偶氮基團和萘酚結構單元,賦予了其鮮艷的色彩,優異的著色性能和良好的耐久性。
物理化學性能
| 性能指標 | 參數范圍 | 
|---|---|
| 色相/色光 | 藍光紅色(洋紅) | 
| 相對密度 | 1.35 - 1.40 g/cm³ | 
| 堆積密度 | 11.2 - 11.6 lb/gal | 
| 熔點 | 318 - 322 ℃ | 
| 平均粒徑 | 0.11 μm | 
| 粒子形狀 | 小薄片狀 | 
| 比表面積 | 36 - 40 m²/g | 
| pH值(10%漿料) | 5.5 | 
| 吸油量 | 65 - 70 g/100g | 
| 遮蓋力 | 半透明型 | 
顏料紅146合成方法
顏料紅146通常通過以下工藝路線合成:
- 
		將紅色基 KD Base、水和鹽酸加熱溶解,冷卻后加入亞硝酸鈉進行重氮化,加入活性炭,過濾備用。 
- 
		將色酚AS-LC、水和氫氧化鈉加熱溶解,過濾。 
- 
		濾液加至少量乙酸和表面活性劑的水溶液中,析出沉淀,再加入上述的重氮鹽溶液,控制pH值為5~6反應。 
- 
		反應體系加熱至80℃,過濾、水洗、干燥,最終得到顏料紅146產品。 

顏料紅146概述
顏料紅146(Pigment Red 146)是一種半透明的單偶氮萘酚AS類有機顏料,呈鮮艷的藍光紅色(洋紅色調),色彩飽滿,光澤度高,著色力強,主要應用于印刷油墨和油漆涂料行業,也可與鉬鉻橙拼出不透明型紅色,用于乳膠漆和建筑涂料;可與83號黃和炭黑可拼出棕色,用于木材著色。
顏料紅146是顏料紅57:1的理想的升級替代品,相較于顏料紅57:1略帶黃光,其在印墨中的打印樣品展現出更好的耐溶劑性和耐滅菌處理性能,在耐溶劑性、耐熱性、耐光性及色彩穩定性方面均優于PR57:1;熱穩定性200°C/10分鐘,耐光性5級,比顏料紅57:1提升0.5~1級;在織物印花中耐光性可達7級(1/1SD)。
性能特點:
- 色澤鮮艷:呈藍光紅色,色彩鮮亮飽滿,色相穩定,視覺效果出色。
- 耐光性:具有良好的耐光性,印刷樣品耐光性5級;織物印花耐光性7級(1/1SD)。
- 耐熱性:耐熱性200℃/10分鐘,比顏料紅57:1提升約20℃。
- 耐溶劑性:出色的耐溶劑性能,適用于溶劑型油墨、硝基漆等體系。
- 良好的拼色性:可與鉬鉻橙拼配出不透明紅色,與顏料黃83及炭黑拼配出棕色,可滿足多樣化配色需求。

顏料紅146應用領域
顏料紅146具備良好的耐光性、耐溶劑性和優異的著色性能,廣泛應用于印刷油墨和涂料領域,適用于溶劑型和水性油墨、膠印油墨、UV固化油墨、凸版印刷、包裝凹版印刷和柔版印刷、PA油墨、PP油墨、NC硝基纖維素油墨、甲苯基油墨、噴墨油墨等;亦適用于汽車涂料、粉末涂料、工業涂料、水性裝飾漆、乳膠漆、建筑涂料、自干漆、硝基漆、烘烤漆,以及紡織品印花、木材著色、層壓塑料薄膜包裝印墨、藝術家色彩和紙張著色等多個領域。
 
 
                                     
                                    