 
                        顏料橙34_PO34號橙顏料性能特點與生產工藝流程介紹
- 名稱:顏料橙34(PO34)
- 俗稱:聯苯胺橙、永固橙RL
- 色相/色光:亮紅光橙色
- 化學類別:偶氮類
- 特點:高著色力,良好的耐光性、耐候性和優異的流動分散性
- 應用:包裝油墨、涂料印花、工業涂料、建筑涂料、塑料
- 更新日期:2024-12-12
- 點擊索要樣品 查詢相關產品
顏料橙34的性能特點、應用領域與生產工藝解析
顏料橙34(Pigment Orange 34 / PO34),俗稱聯苯胺橙或永固橙RL,是一種亮紅光橙色的偶氮類有機顏料。該顏料具有色澤鮮艷、著色力高、等優點,被廣泛應用于包裝印墨、涂料、塑料及橡膠等多個行業。本篇文章將詳細介紹顏料橙34的性能特點以及其生產工藝流程。
顏料橙34化學性質
- 英文名稱:C.I.Pigment Orange 34/P.O.34
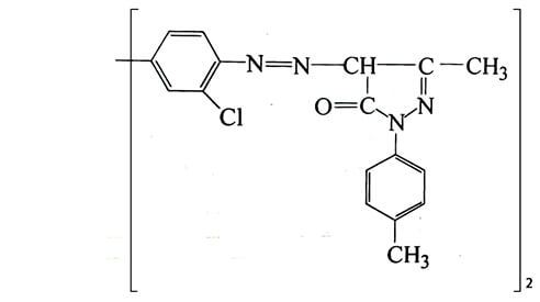
- 化學名稱:4,4'-[[3,3'-二氯(1,1'-聯苯)-4,4'-二基]二(偶氮)]二[2,4-二氫-5-甲基-2-(4-甲基苯基)-3H-吡唑-3-酮]
- C.I.結構號:21115
- CAS登記號:15793-73-4
- 分子式:C34H28Cl2N8O2
- 分子量:651.60
- 分子結構圖

顏料橙34的物理性能
| 相對密度 | 1.30-1.40 | 
| 堆積密度 | 11.0-11.6lb/gal | 
| 粒子形狀 | 立方體 | 
| pH值/(10%漿料) | 4.8-6.5 | 
| 吸油量 | 43-79g/100g | 
| 遮蓋力 | 半透明/透明型 | 
| 熔點 | 320-350℃ | 
| 平均粒徑 | 0.09μm | 
| 比表面積 | 66(F2G) m²/g | 

顏料橙34生產工藝流程
顏料橙34的合成過程涉及重氮化反應和偶合反應。具體的生產工藝流程如下:
- 
		重氮化反應 
 首先,將3,3'-二氯聯苯胺(DCB)與鹽酸和水混合,制成漿料。然后,向漿料中加入亞硝酸鈉水溶液,在0-5℃的低溫下進行重氮化反應。反應完成后,使用尿素破壞過量的亞硝酸鈉,并用活性炭進行脫色。
- 
		偶合反應 
 接下來,將制備的重氮鹽加入3-甲基-1-(4'-甲基苯基)-5-吡唑啉酮中混合,在pH值控制在9.5-10的條件下進行偶合反應。反應過程中,需要加熱至85-90℃,進行過濾、清水洗滌、干燥,以得到最終的顏料橙34。

34號橙顏料性能
- 顏色特點:34號橙給出鮮艷純凈的亮紅光橙色,具有高著色力,能夠提供出色的顏色效果。
- 耐光性與耐候性:具備良好的耐光性和耐候性,能夠長時間保持色彩穩定。
- 耐溫性:顏料橙34的耐熱穩定性一般在200℃左右,適用于中等溫度的加工條件。
- 分散性:具有良好的流動性和分散性,可在涂料和油墨等應用中均勻的分布。
- 替代鉬紅:在農機和建筑涂料中可以替代鉬鉻紅顏料。
34號橙顏料應用:
顏料橙34(PO34)色澤鮮艷,著色力高,主要用于包裝印墨、涂料印花和塑料及橡膠等產品著色;在塑料中用于軟質PVC、聚烯烴等耐溫200℃;在印刷油墨和涂料應用中具有良好的耐光性和耐候性,其高遮蓋劑型具有優良的流動性,并且在工業涂料和建筑涂料中可以替代鉬紅顏料。
顏料橙34(PO34)代表產品
- 
            				    	  潤巴P2031C高遮蓋有機顏料橙色粉_聯苯胺橙潤巴Ranbar Orange P2031C聯苯胺橙是一種基于二偶氮吡唑啉酮結構的橙色高遮蓋有機顏料,顏色鮮艷明亮,提供干凈的紅光橙色色調和高著色強度,具有良好... 
- 
            				    	  巴斯夫Irgalite K2925橙色高遮蓋有機顏料巴斯夫Irgalite Orange K2925/F2G是一款非常純凈的二芳基橙色高遮蓋有機顏料,具有高飽和度和高色彩強度,它是聚氯乙烯和低密度聚乙烯室內應用中... 
- 
            				    	  巴斯夫D2980聯苯胺橙高透明橙色有機顏料(顏料橙34)巴斯夫D2980/F2G是一款非常艷麗的高透明偶氮聯苯胺橙有機顏料,索引號為顏料橙34號,具有良好的流動性、非常高的耐熱穩定性、耐光性和耐溶劑性等特點,主要用于... 
- 
            				    	  科萊恩永固橙RL有機顏料CLARIANT Graphtol Orange RL(顏料橙34)科萊恩Graphtol Orange RL是一種純凈亮麗的橙色顏料,也叫永固橙RL或聯苯胺橙,它具有優異的介電性能,良好的耐光性和耐酸堿性,不推薦用于高于200... 
 
